Powered By Blogger
Como un amante de las Matemáticas, este es mi aporte para todos esos estudiantes que desean preparase mejor, practicando diversos ejercicios, ya que esta es una de las materias que a la mayoría de jóvenes se les hace más complicada.
En el Blog iré colgando todos los ejercicios que vaya resolviendo

viernes, 10 de febrero de 2023

jueves, 9 de febrero de 2023

REDUCCION DE DOS TERMINOS SEMEJANTES DE DISTINTOS SIGNOS

 
REDUCCION DE DOS TERMINOS SEMEJANTES EJERCICIO 08 ALGEBRA DE BALDOR



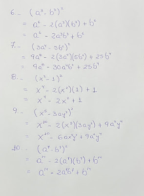
SOLUCION Y RESPUESTA 








miércoles, 8 de febrero de 2023

REDUCCION DE TERMINOS SEMEJANTES / REDUCTION OF SIMILAR TERMS / REDUZIERUNG ÄHNLICHER BEDINGUNGEN

     
REDUCCION DE TERMINOS SEMEJANTES / 

EJERCICIO 07 - ALGEBRA DE BALDOR




SOLUCION Y RESPUESTA








martes, 7 de febrero de 2023