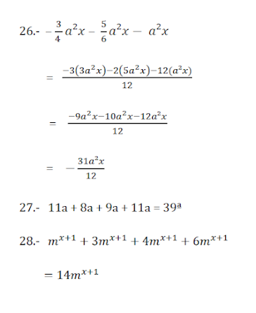
REDUCCION DE MAS DE DOS TERMINOS SEMEJANTES DE SIGNOS DISTINTOS / EJERCICIO 09 - ALGEBRA DE BALDOR
Mostrando entradas con la etiqueta reduccion. Mostrar todas las entradas
Mostrando entradas con la etiqueta reduccion. Mostrar todas las entradas
martes, 9 de mayo de 2023
REDUCCION DE MAS DE DOS TERMINOS SEMEJANTES DE SIGNOS DISTINTOS
Etiquetas:
algebra,
baldor,
ejercicios,
matematicas,
reduccion
miércoles, 12 de abril de 2023
domingo, 26 de marzo de 2023
sábado, 25 de marzo de 2023
jueves, 9 de febrero de 2023
miércoles, 8 de febrero de 2023
Suscribirse a:
Comentarios (Atom)

.png)

.png)
.png)
.png)
.png)


.png)
.png)
.png)
.png)
.png)
.png)


.png)
.png)
.png)
.png)


.png)
.png)
.png)
.png)


.png)
.png)
.png)
.png)
.png)
.png)
.png)
.png)


.png)
.png)
.png)
.png)
.png)
.png)
.png)
