.png)
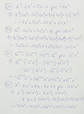
MULTIPLICACION DE POLINOMIOS CON EXPONENTES LITERALES / EJERCICIO 43 - ALGEBRA DE BALDOR
SOLUCION Y RESPUESTA
.png)
MULTIPLICACION DE POLINOMIOS CON EXPONENTES LITERALES / EJERCICIO 43 - ALGEBRA DE BALDOR
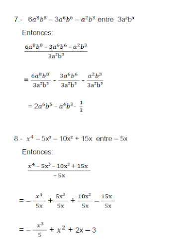
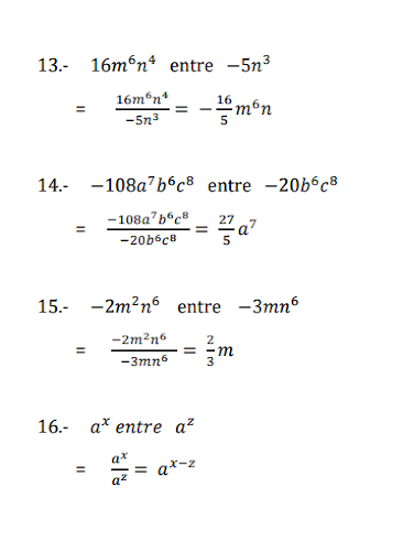
RESTA DE FRACCIONES CON DENOMINADORES MONOMIOS / EJERCICIO 128 - ALGEBRA DE BALDOR