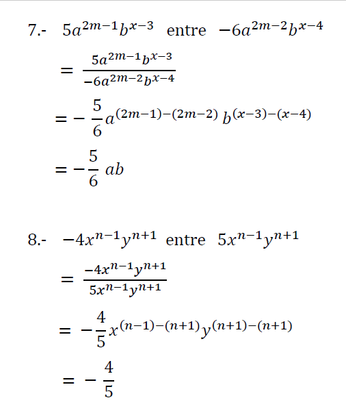
SOLUCION Y RESPUESTA
Mostrando entradas con la etiqueta resta. Mostrar todas las entradas
Mostrando entradas con la etiqueta resta. Mostrar todas las entradas
miércoles, 10 de mayo de 2023
viernes, 14 de abril de 2023
RESTA DE FRACCIONES CON DENOMINADORES MONOMIOS / SUBTRACTION OF FRACTIONS
RESTA DE FRACCIONES CON DENOMINADORES MONOMIOS / EJERCICIO 128 - ALGEBRA DE BALDOR
SOLUCION Y RESPUESTA
Etiquetas:
algebra,
fracciones,
matematicas,
monomios,
resta
viernes, 24 de marzo de 2023
FACTORAR UNA SUMA O UNA DIFERENCIA DE CUBOS PERFECTOS / FACTOR A SUM OR DIFFERENCE OF PERFECT CUBES
FACTORAR UNA SUMA O UNA DIFERENCIA DE CUBOS PERFECTOS / EJERCICIO 103 ALGEBRA DE BALDOR
SOLUCION Y RESPUESTA
Etiquetas:
algebra,
cubos,
diferencia,
ejercicios,
factorar,
resta,
suma
miércoles, 22 de marzo de 2023
viernes, 24 de febrero de 2023
jueves, 23 de febrero de 2023
martes, 21 de febrero de 2023
Suscribirse a:
Comentarios (Atom)

.png)

.png)
.png)
.png)
.png)

.png)
.png)
.png)
.png)
.png)
.png)

.png)
.png)
.png)


.png)
.png)
.png)
.png)
.png)


.png)
.png)
.png)
.png)
.png)
.png)
.png)
.png)


.png)
.png)
.png)
.png)
.png)
.png)



.png)
.png)
.png)
.png)
.png)
