Powered By Blogger
Como un amante de las Matemáticas, este es mi aporte para todos esos estudiantes que desean preparase mejor, practicando diversos ejercicios, ya que esta es una de las materias que a la mayoría de jóvenes se les hace más complicada.
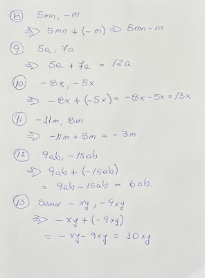
En el Blog iré colgando todos los ejercicios que vaya resolviendo
Mostrando entradas con la etiqueta algebraica. Mostrar todas las entradas
Mostrando entradas con la etiqueta algebraica. Mostrar todas las entradas

jueves, 27 de abril de 2023

EMPLEO DE FORMULAS / CAMBIO DEL SUJETO DE UNA FORMULA

CAMBIO DEL SUJETO DE UNA FORMULA / EJERCICIO 163 - ALGEBRA DE BALDOR


SOLUCION Y RESPUESTA 



 

miércoles, 12 de abril de 2023

REDUCIR UNA FRACCION A TERMINOS MAYORES / REDUCE A FRACTION TO LARGER TERMS

 

REDUCIR UNA FRACCION A TERMINOS MAYORES / EJERCICIO 122 - ALGEBRA DE BALDOR

SOLUCION Y RESPUESTA 






viernes, 10 de febrero de 2023