Powered By Blogger
Como un amante de las Matemáticas, este es mi aporte para todos esos estudiantes que desean preparase mejor, practicando diversos ejercicios, ya que esta es una de las materias que a la mayoría de jóvenes se les hace más complicada.
En el Blog iré colgando todos los ejercicios que vaya resolviendo
Mostrando entradas con la etiqueta sustraccion. Mostrar todas las entradas
Mostrando entradas con la etiqueta sustraccion. Mostrar todas las entradas

miércoles, 19 de abril de 2023

miércoles, 22 de marzo de 2023

jueves, 23 de febrero de 2023

RESTA ALGEBRAICA / ALGEBRAIC SUBTRACTION / ALGEBRAISCHE SUBTRAKTION / 代數減法

CARACTER GENERAL DE LA RESTA ALGEBRAICA 

EJERCICIO 20 - ALGEBRA DE BALDOR


SOLUCION Y RESPUESTA 






lunes, 13 de febrero de 2023

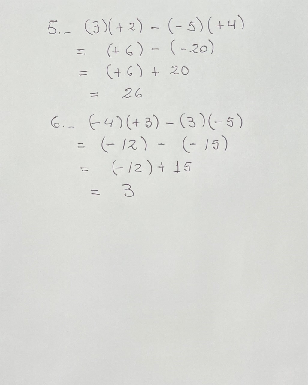
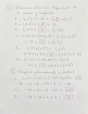
ADICION, SUSTRACCION Y MULTIPLICACION / MATEMATICA 6 - Alfonso Rojas Puemape

 MATEMATICA 6 / CUADERNO DE TRABAJO

EJERCICIOS TEMA 2 / PAGINA 150, 152, 153



SOLUCION Y RESPUESTA 










SOLUCION / RESPUESTAS EXPERIENCIAS 40







sábado, 14 de enero de 2023

MULTIPLICACION Y DIVISION / MATEMATICA 6 - Alfonso Rojas Puemape

 MATEMATICA 6 / CUADERNO DE TRABAJO



EJERCICIOS TEMA 2 / PAGINA 34



SOLUCION / RESPUESTAS





EJERCICIOS TEMA 2 / PAGINA 104


SOLUCION / RESPUESTAS





EJERCICIOS TEMA 3 / PAGINA 108

SOLUCION / RESPUESTAS