Como un amante de las Matemáticas, este es mi aporte para todos esos estudiantes que desean preparase mejor, practicando diversos ejercicios, ya que esta es una de las materias que a la mayoría de jóvenes se les hace más complicada. En el Blog iré colgando todos los ejercicios que vaya resolviendo
miércoles, 29 de marzo de 2023
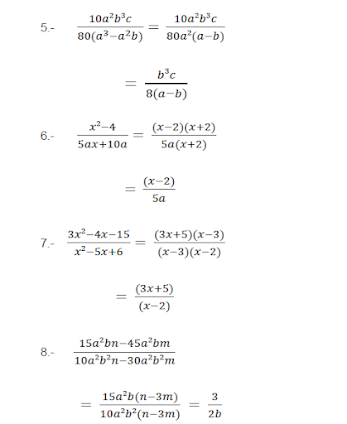
SIMPLIFICACION DE FRACCIONES CUYOS TERMINOS SEAN POLINOMIOS
SIMPLIFICACION DE FRACCIONES CUYOS TERMINOS SEAN POLINOMIOS / EJERCICIO 119 - ALGEBRA DE BALDOR
El Mayor General FAP. ® Luis Alberto González Buttgenbach.
Fue Jefe de la Delegación del Perú ante la Junta Interamericana de Defensa en Washington (2019-2020), el año 2018 fue Asesor Militar del Ministro de Defensa. Es Magíster en Gobernabilidad, graduado en la Universidad San Martin de Porras, realizo el Programa de Dirección Gerencial (PDG) en la Universidad de Piura, fue Catedrático de la Escuela Superior de Guerra Aérea (2012-2015), el año 2009 recibió la Condecoración Medalla al Mérito MAG. FAP Armando Revoredo Iglesias (ARI) por Esfuerzo Intelectual.
Asimismo podemos mencionar que participó en el conflicto del Alto Cenepa, por lo que recibió la Condecoración Capitán Quiñones por Acción Distinguida, participo en las operaciones del VRAEM desde el 2007, como piloto instructor en NVG y vuelos en alta montaña. El 2011 recibió la Condecoración ARI por Acción Distinguida, y el 2012 recibió nuevamente por segunda vez la Condecoración ARI por el rescate de la tripulación del helicóptero FAP derribado en Sinaycocha.
👍
ResponderEliminarMe sirvieron gracias 😉 termine mi tarea
ResponderEliminarMe gusta 👏
ResponderEliminarExcelente aporte felicitaciones
ResponderEliminarBuenazoooooo
ResponderEliminarMuy útil gran idea 😻
ResponderEliminar