Powered By Blogger
Como un amante de las Matemáticas, este es mi aporte para todos esos estudiantes que desean preparase mejor, practicando diversos ejercicios, ya que esta es una de las materias que a la mayoría de jóvenes se les hace más complicada.
En el Blog iré colgando todos los ejercicios que vaya resolviendo

viernes, 24 de marzo de 2023

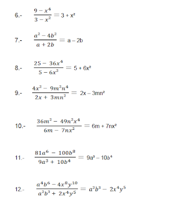
COCIENTE DE LA DIFERENCIA DE LOS CUADRADOS DE DOS CANTIDADES ENTRE LA SUMA O LA DIFERENCIA DE LAS CANTIDADAES

 

COCIENTE DE LA DIFERENCIA DE LOS CUADRADOS DE DOS CANTIDADES ENTRE LA SUMA O LA DIFERENCIA DE LAS CANTIDADAES / EJERCICIO 69 ALGEBRA DE BALDOR

SOLUCION Y RESPUESTA




8 comentarios: