.png)
PRODUCTO DE DOS BINOMIOS DE LA FORMA (x + a) (x + b) / EJERCICIO 67 - ALGEBRA DE BALDOR
SOLUCION Y RESPUESTA
.png)
PRODUCTO DE DOS BINOMIOS DE LA FORMA (x + a) (x + b) / EJERCICIO 67 - ALGEBRA DE BALDOR
SOLUCION Y RESPUESTA
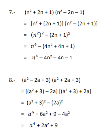
PRODUCTO DE LA SUMA POR LA DIFERENCIA DE DOS CANTIDADES / EJERCICIO 65 - ALGEBRA DE BALDOR
.png)
MULTIPLICACION DE POLINOMIOS CON EXPONENTES LITERALES / EJERCICIO 43 - ALGEBRA DE BALDOR
.png)
INTRODUCIR CANTIDADES EN SIGNOS DE AGRUPACION / EJERCICIO 34 - ALGEBRA DE BALDOR
.png)
INTRODUCIR CANTIDADES EN SIGNOS DE AGRUPACION / EJERCICIO 33 - ALGEBRA DE BALDOR
.png)
SUMA Y RESTA COMBINADAS DE POLINOMIOS CON COEFICIENTES FRACCIONARIOS / EJERCICIO 29 - ALGEBRA DE BALDOR