Powered By Blogger
Como un amante de las Matemáticas, este es mi aporte para todos esos estudiantes que desean preparase mejor, practicando diversos ejercicios, ya que esta es una de las materias que a la mayoría de jóvenes se les hace más complicada.
En el Blog iré colgando todos los ejercicios que vaya resolviendo
Mostrando entradas con la etiqueta mathematics. Mostrar todas las entradas
Mostrando entradas con la etiqueta mathematics. Mostrar todas las entradas

jueves, 2 de marzo de 2023

REDUCCION DE UN POLINOMIO QUE CONTENGA TERMINOS SEMEJANTES DE DIVERSAS CLASES

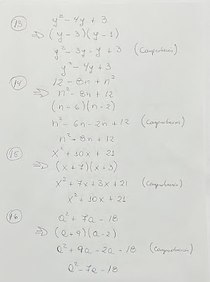
 REDUCCION DE UN POLINOMIO                             EJERCICIO 10 - ALGEBRA DE BALDOR


SOLUCION Y RESPUESTA 







viernes, 20 de enero de 2023

SUMA Y RESTA DE FRACCIONES HETEROGENEAS Y DECIMALES / MATEMATICAS PARA TODOS SECUNDARIA LIBRO 1


SUMA Y RESTA DE FRACCIONES HETEROGENEAS  

PAG. 10 


SOLUCION Y RESPUESTA  PAG. 10 


SUMA Y RESTA DE FRACCIONES HETEROGENEAS  

PAG. 11

SOLUCION Y RESPUESTA  PAG. 11

 






SUMA Y RESTA DE DECIMALES PAG. 32 


SOLUCION Y RESPUESTA PAG. 32

SUMA Y RESTA DE DECIMALES PAG. 33


 SOLUCION Y RESPUESTA PAG. 33





MULTIPLICAR Y DIVIDIR DECIMALES CON POTENCIA DE 10 / PAG 34 Y PAG 35


SOLUCION Y RESPUESTA 



SOLUCION Y RESPUESTA





domingo, 15 de enero de 2023

OPERACIONES INDICADAS DE SUMAS Y RESTAS / INDICATED ADDITIONS AND SUBTRACTIONS OPERATIONS

OPERACIONES DE SUMAS Y RESTAS SIN SIGNOS DE AGRUPACION / ARITMETICA DE BALDOR


SOLUCIONES Y RESPUESTA 


miércoles, 11 de enero de 2023

lunes, 9 de enero de 2023