Powered By Blogger
Como un amante de las Matemáticas, este es mi aporte para todos esos estudiantes que desean preparase mejor, practicando diversos ejercicios, ya que esta es una de las materias que a la mayoría de jóvenes se les hace más complicada.
En el Blog iré colgando todos los ejercicios que vaya resolviendo

domingo, 30 de abril de 2023

EJERCICIOS CON POLIGONOS / POLYGON EXERCISES

                                                       
EJERCICIOS CON POLIGONOS / GEOMETRIA - BALDOR


SOLUCION Y RESPUESTA








EJERCICIOS DE POTENCIA DE PONTENCIA / POWER EXERCISES

 

POTENCIA DE PONTENCIA / EJERCICIOS 203 -ARITMETICA DE BALDOR

SOLUCION Y RESPUESTA










sábado, 29 de abril de 2023

HALLAR EL VALOR DE UNA DETERMINANTE DE TERCER ORDEN


HALLAR EL VALOR DE UNA DETERMINANTE DE TERCER ORDEN / EJERCICIO 187 - ALGEBRA DE BALDOR

SOLUCION Y RESPUESTA 



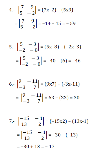
DESARROLLO DE UNA DETERMINANTE DE SEGUNDO ORDEN

 

DESARROLLO DE UNA DETERMINANTE DE SEGUNDO ORDEN 7 EJERCICIO 183 ALGEBRA DE BALDOR

SOLUCION Y RESPUESTA






jueves, 27 de abril de 2023

EMPLEO DE FORMULAS / CAMBIO DEL SUJETO DE UNA FORMULA

CAMBIO DEL SUJETO DE UNA FORMULA / EJERCICIO 163 - ALGEBRA DE BALDOR


SOLUCION Y RESPUESTA 



 

ECUACIONES SIMULTANEAS DE PRIMER GRADO CON DOS INCOGNITAS (ELIMINACION POR SUSTITUCION)

 

ELIMINACION POR SUSTITUCION / EJERCICIO 177 - ALGEBRA DE BALDOR

SOLUCION Y RESPUESTA 







ECUACIONES SIMULTANEAS DE PRIMER GRADO CON DOS INCOGNITAS (ELIMINACION POR IGUALACION)

 

ELIMINACION POR IGUALACION / EJERCICIO 176 - ALGEBRA DE BALDOR

SOLUCION Y RESPUESTA