POTENCIA DE UNA FRACCION / EJERCICICO 191 - ARITMETICA DE BALDOR
martes, 30 de mayo de 2023
PRODUCTO DE POTENCIA DE IGUAL BASE
Etiquetas:
aritmetic,
aritmetica,
baldor,
ejercicios,
matematicas,
producto
lunes, 29 de mayo de 2023
CASOS ESPECIALES - DIFERENCIA DE CUADRADOS PERFECTOS
.png)
CASOS ESPECIALES - DIFERENCIA DE CUADRADOS PERFECTOS / EJERCICIO 94 - ALGEBRA DE BALDOR
SOLUCION Y RESPUESTA
Etiquetas:
algebra,
baldor,
cuadrados,
ejercicios,
matematicas
domingo, 28 de mayo de 2023
miércoles, 24 de mayo de 2023
domingo, 21 de mayo de 2023
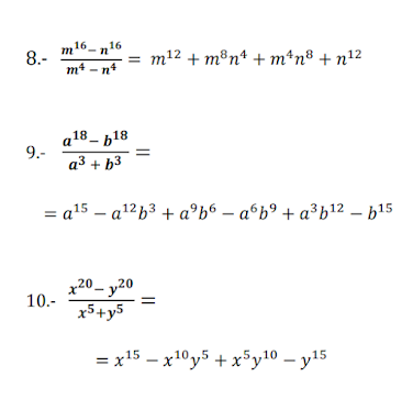
COCIENTES DE LA SUMA O DIFERENCIA DE POTENCIAS IGUALES / COCIENTES NOTABLES
COCIENTES DE LA SUMA O DIFERENCIA DE POTENCIAS IGUALES DE DOS CANTIDADES ENTRE LA SUMA O DIFERENCIA DE LAS CANTIDADES / EJERCICIO 72 - ALGEBRA DE BALDOR
sábado, 20 de mayo de 2023
viernes, 19 de mayo de 2023
COCIENTES NOTABLES / COCIENTES DE LA SUMA O DIFERENCIA DE LOS CUBOS DE DOS CANTIDADES
COCIENTES DE LA SUMA O DIFERENCIA DE LOS CUBOS DE DOS CANTIDADES ENTRE LA SUMA O DIFERENCIA DE LAS CANTIDADES / EJERCICIO 70 - ALGEBRA DE BALDOR
SOLUCION Y RESPUESTA
SOLUCION Y RESPUESTA
Etiquetas:
algebra,
baldor,
ejercicios,
matematicas
Suscribirse a:
Comentarios (Atom)

.png)

.png)
.png)
.png)
.png)
.png)

.png)
.png)
.png)
.png)

.png)
.png)
.png)
.png)
.png)

.png)
.png)
.png)
.png)
.png)
.png)
.png)

.png)
.png)
.png)
.png)
.png)

.png)
.png)
.png)

.png)
.png)
.png)
.png)

.png)
.png)
.png)
.png)

.png)
.png)
.png)
